반응형

전체 글 51

총수요곡선과 총공급곡선을 이동 시키는 요인

가로축(Q 또는 Y): 실질GDP, 총생산량세로축(P): 물가 수준 AD-AS 모형이란총수요(AD)와 총공급(AS)의 상호작용으로물가 수준(P)과 생산량(Q 또는 실질GDP)이 결정되는 모형이다.한 나라 경제 전체의 물가와 생산량 변화를 설명한다. 총수요곡선(AD)물가 수준이 변할 때, 경제 전체의 총지출(C+I+G+X–M)이 어떻게 변하는지를 보여준다.우하향 곡선이다.물가가 오르면 구매력이 줄어 총지출이 감소하고, 물가가 내리면 총지출이 증가한다. 총공급곡선(AS) 물가 수준이 변할 때, 기업이 공급하려는 총생산량을 보여준다.단기 AS(SRAS): 우상향 (물가 상승 → 생산 증가)장기 AS(LRAS): 수직 (경제의 최대생산능력 수준에서 고정됨)균형점AD와 AS가 만나는 점이 경제의 균형점이다.이 지..

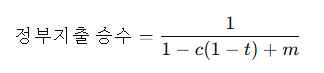
Q. 한 개방경제의 국민소득결정모형에 대한 정보가 다음과 같을때, 정부지출 승수

정부지출 승수(Government Spending Multiplier)는 한 경제에서 정부지출이 국민소득에 미치는 영향을 나타내는 계수입니다.정부지출 승수의 일반 공식 (개방경제):정부지출 승수는 다음과 같은 형태를 가집니다.c: 한계소비성향 t: 비례세율m: 수입성향i: 한계투자성향기호의미해석c한계소비성향 (MPC)소득이 늘 때 소비가 얼마나 같이 늘어나는가t비례세율소득이 늘 때 세금이 얼마나 같이 늘어나는가i한계투자성향소득이 늘 때 투자가 얼마나 같이 늘어나는가m한계수입성향 (MPM)소득이 늘 때 수입이 얼마나 같이 늘어나는가승수는 오직 **소득(Y)과 함께 움직이는 항목(c, t, m)**으로만 결정용어 정리경제학에서의 계수란? 특정 변수들이 결과에 얼마나 영향을 미치는지 나타내는 숫자입니다.개방..

바젤 규정 적용 사례

https://plus.hankyung.com/apps/newsinside.view?aid=2025090309151&category=NEWSPAPER&sns=y '생산적 금융' 압박 세지는데…"中企 대출 되레 16% 줄여야 할 판"은행권이 ‘과징금 폭탄’ 위기에 몰리면서 10년간 기업대출 공급 여력이 쪼그라들 것이란 우려가 커지고 있다. 과징금은 일시적인 비용 부담에 그치지 않고 자본 건전성과 직결되는 구조적 리plus.hankyung.com 1. 기사 요약: 배경, 원인, 리스크, 방안배경정부가 은행들에게 '생산적 금융' (기업 대출, 특히 중소기업 대출)을 확대하라고 압박하고 있습니다. 하지만 은행들은 홍콩 ELS 불완전판매 등 여러 사건으로 인해 최대 9.5조 원에 달하는 과징금 부과 위기에 놓여 ..

기사 2025.09.04

자사주 매입하면 총 주식 수가 줄어들어? "주주가치제고 "

https://www.mk.co.kr/news/stock/11409215 "주주가치 제고"…자사주 매입·소각 급증 - 매일경제올 자사주 취득 14조5천억8월이후에만 3조원 결정소각 의무화 법안 앞두고실제 소각 5619억원 달해2023년대비 4배이상 늘어www.mk.co.kr Q. 정부가 추진하는 자사주 소각 의무화 법안은 투자자 보호를 강화하는 효과가 있을 수 있다. 하지만 기업 입장에서는 어떤 부담이나 부작용이 발생할 수 있을까? 이 기사는 기업들이 주주 가치 제고라는 본래의 목적에 충실하고 있다는 긍정적인 변화를 다루고 있습니다. 자사주 소각 의무화 법안은 투자자 보호를 강화하는 매우 중요한 효과를 가집니다.1. 주당 가치 상승을 통한 주주 가치 제고2. '꼼수' 활용 방지3. 투명하고 예측 가능..

기사 2025.09.03

이재용·젠슨 황 '포옹'

https://www.hankookilbo.com/News/Read/A2025082617280000727?did=NA📌 기사 요약1. 행사 개요일시/장소: 8월 25일(현지시간), 미국 워싱턴 DC 윌라드 호텔행사: ‘한미 비즈니스 라운드 테이블’ (한국경제인협회 주최)참석자:한국 측: 이재용(삼성), 최태원(SK), 정의선(현대차), 구광모(LG), 김동관(한화), 정기선(HD현대), 허태수(GS), 조원태(대한항공), 이재현(CJ), 구자은(LS), 박지원(두산), 서정진(셀트리온), 최윤범(고려아연), 김상현(롯데), 최수연(네이버) 등 16명.미국 측: 젠슨 황(엔비디아), 데이비드 루벤스타인(칼라일), 게리 디커슨(어플라이드 머티리얼즈), 린든 블루(제너럴아토믹스), 클레이 셀(엑스에너지), ..

기사 2025.08.27

국내카드사 해외송금 서비스 중단 확산

https://www.youthdaily.co.kr/news/article.html?no=193893 [청년일보] 국내 카드사들, 핀테크에 밀려 입지 '위축'…해외송금 서비스도 잇단 ‘종료’【 청년일보 】 국내 신용카드사들이 해외송금 서비스를 잇따라 철회하고 있다. 수수료 및 서비스 편의 측면에서 인터넷전문은행(이하 인뱅)과 경쟁 격차를 좁히지 못한 것이 주된 요인으로 지www.youthdaily.co.kr 1. 해외송금 서비스 중단 확산KB국민카드가 2025년 10월 1일자로 해외송금 서비스를 종료.앞서 **현대카드(2020), 롯데카드(2023), 우리카드(2024)**도 이미 철수.현재 전업 카드사 중 해외송금 서비스를 유지하는 곳은 신한카드 단 한 곳.2. 중단 이유인터넷전문은행(인뱅) 및 핀테크..

기사 2025.08.27

물리적 달러(기축통화)와 디지털 달러(스테이블코인)가 이원화 공존할 가능성?

https://n.news.naver.com/mnews/article/056/0012016849 “은행 예금 다 넘어가나”…100조 원 넘보는 스테이블코인 [잇슈 머니]잇슈머니 시작합니다. 박연미 경제평론가 나오셨습니다. 첫 번째 키워드 '100조 원 넘보는 국내 스테이블 코인 시장'이라고 하셨어요. 트럼프 대통령 시대, 용처가 늘어나는 스테이블 코인 얘기n.news.naver.com 국내 스테이블코인 시장 규모올해 8월 21일까지 5대 원화 거래소(업비트·빗썸·코인원·코빗·고팍스)에서 달러 기반 스테이블코인(테더, 서클) 거래대금이 약 99조 원에 달함.1년 새 거래대금이 3배 증가.연말까지는 100조 원 돌파 전망.수요 확대 요인트럼프 행정부의 코인 시장 활성화 정책(지니어스 액트 등) 영향.미국..

기사 2025.08.27
반응형